Club Tchimbe Raid
Martinique
Accueil
Le Club
▼
Notre équipe
Notre histoire
Rejoignez le club
Partenaires
Les Courses
▼
Calendrier
Trail des Moubins
OTANTIK / DTOX
Défi de la Pelée
La MYTHIK
Le TCHIMBE RAID
REGLEMENTATION
Photo / Video
▼
Photos
En live
Actu
Archives
▼
Tchimbe Raid
Mythik
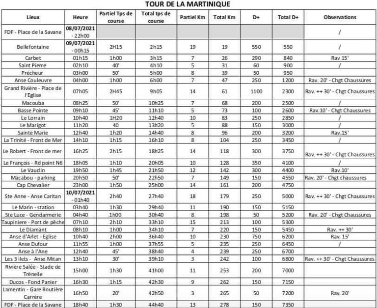
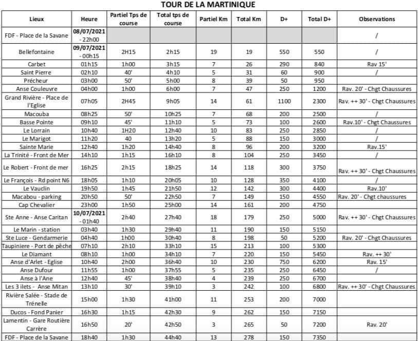
Jordan MIONZE....tour de Martinique non-stop
Sommaire
Championnat de France de Trail 2022
HYPERTHERMIE
Photo par Claude GRADUEL
Martinique Trail Tour
Vie du club
Samy BONIFACIE....la "PICARIEGE"
Frédéric LEBAILLY....finisher de l'UTMB 2021
Jordan MIONZE....tour de Martinique non-stop
Carnaval studieux...
Manger mieux, bouger plus
En image
Précédent
Page 8 sur 10
Suivant